近日,郭航远教授团队指导的临床医学专业型硕士研究生在国际著名杂志Frontiers in Neurology发表《A Nomogram for Predicting Patent Foramen Ovale-Related Stroke Recurrence》文章,该文详细阐述了PFO相关性卒中的发病机制,并探索了此类卒中复发的危险因素,建立了预测模型,对临床医生选择PFO相关性卒中的治疗方式有重要参考意义。临床专硕2001班吴卓楠同学,宁波大学球盟会张传经同学为共同第一作者,浙大球盟会杨金锦同学,浙中医药谢雯晴和刘楠同学共同参与。
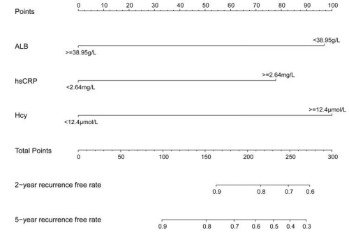
虽然目前的研究已确定PFO封堵术可显著降低PFO相关性卒中复发率至0.6%,但仍有大量患者采取保守的药物治疗甚至未行诊治。在一些研究中,这部分患者的年复发率可高达8.2%。因此,识别PFO相关性卒中复发的高危人群,并建议其行封堵治疗,是十分必要的,也是当前临床上的局限。目前的研究主要集中于寻找PFO相关性卒中复发的危险因素,特别是一些临床常用的生物学标记物。由同型半胱氨酸,高敏C反应蛋白和白蛋白组成的预测模型,具有良好的区分度,校准以及临床实用性,能个体化评估患者的复发风险,为临床医生提供了风险评估依据。

《Frontiers in Neurology》杂志,2021年JCR分区Q2区,中科院分区3区,影响因子 4.086